*헤더로 <map> 을 갖는다.
<map>은 key 와 value 의 쌍으로 이루어진 균형 이진 트리이다. key 를 기준으로 사전순으로 정렬되어 있기 때문에 검색 속도가 빠르다. 바로 map 의 쓰임을 알아보자.
string s= "my name is my name"
스트링 s 에는 "나의 이름은 나의 이름" 이라는 영어 문장을 적었는데 해당 문자열의 알파벳 종류에 따른 개수를 구조화 시키고 싶을 때 <map> 이라는 자료구조를 쓰면 된다.
즉, m 이라는 알파벳이 몇개가 나왔는지 알고 싶다면 map 을 활용 하면 된다.
map 은 여러 타입을 묶음으로 가질 수 있으니 사용자는 문제에 맞는 구조로 구현 하면 된다.
map < string, char> 변수명
map< char, int > 변수명
map < int, int > 변수명 ..등

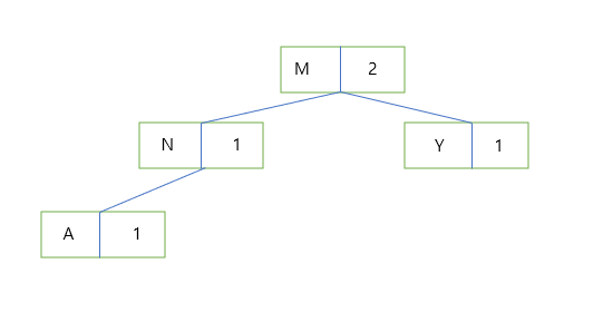
"MYNAM" 이라는 문자열을 <map> 을 사용했다면 다음과 같이 구조가 만들어진다.
이어지는 코드는 "my name is my name" 이라는 문자열을 가지고 <map> 을 적용한 코드다. 그림을 보면서 맵의 구조를 확인하고 어떻게 사용하는지 바로 연습하자.
#include <map>
#include <iostream>
using namespace std;
int main() {
map < char, int> m1;
string s = "my name is my name";
for (char c : s)m1[c]++;
for (auto it = m1.begin(); it != m1.end(); it++) {
cout << it->first << " " << it->second<<"\n";
}cout << "\n\n\n";
//또는
for (auto x : m1) cout << x.first << " " << x.second << "\n";
}

맵과 벡터의 활용
#include <iostream>
#include <vector>
#include <algorithm>
#include <map>
using namespace std;
int n;
map<int, int> order;
bool cmp(pair<int, int> a, pair <int, int> b) {
if (a.second == b.second) {
return order[a.first] < order[b.first];
}
else return a.second > b.second;
}
int main() {
cin >> n;
int b; cin >> b;
map<int, int> m;
int s = 1;
for (int i = 0; i < n; i++) {
int a; cin >> a;
m[a]++;
if (!order[a])order[a] = s++;
}
vector <pair<int, int>> v(m.begin(), m.end());
sort(v.begin(), v.end(), cmp);
for (int i = 0; i < v.size(); i++) {
for (int j = 0; j < v[i].second; j++) {
cout << v[i].first << " ";
}
}
return 0;
}
2910번: 빈도 정렬
첫째 줄에 메시지의 길이 N과 C가 주어진다. (1 ≤ N ≤ 1,000, 1 ≤ C ≤ 1,000,000,000) 둘째 줄에 메시지 수열이 주어진다.
www.acmicpc.net
'기타 > C++ 문법' 카테고리의 다른 글
| <set> 자료구조 (0) | 2022.01.14 |
|---|---|
| <priority_queue> 자료구조 (0) | 2022.01.14 |
| <sort> 오름차순, 내림차순으로 정렬하자 (0) | 2022.01.14 |
| <sqrt> 제곱근(루트) (0) | 2022.01.13 |
| <abs> 절댓값 반환 (0) | 2022.01.13 |
댓글